القرآن كلام اللَّه ووحيه وهداه.. ولم ينزِّل اللَّه على أمَّة من الأمم كتابًا يضاهي في عظمته هذا القرآن
انكسار الغابرين
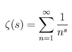
الأعداد الأوّليّة، أو الصمّاء هي أعداد صحيحة أكبر من 1، ولكنها لا تقبل القسمة إلا على نفسها وعلى الرقم 1 فقط. وقد ظلّت هذه المجموعة من الأعداد، منذ نحو ثلاثة قرون قبل الميلاد حتى الآن، تخضع لدراسات وبحوث مكثَّفة من دون أن يتوصّل أحد إلى فهم سلوكها، حيث لا تزال هذه الأعداد تخفي خلفها سرًّا عظيمًا ولغزًا يتحدّى العقل البشري الذي ذهب يجول بين أقاصي المجرَّات.
الأعداد الأوّليّة
إن العدد الأوّليّ أو العدد الأصمّ هو عدد صحيح أكبر من واحد ولكنه لا يقبل القسمة إلا على
الأعداد الأوّليّة في القرآن
إذا تأمّلت في جميع ما جاء به الأنبياء من مُعجزات تثبت صدق نبوتهم، فلن ترى أعظم ولا أجلّ من المُعجزة الخالدة التي جاء بها خاتم النبيين
الأنعام تشهد بالوحدانية
سبحانك هذه آيات كتابك تنطق بالوحدانية.. حرفًا ورقمًا.. كلمة وعددًا! تأمّل هذه الآية من سورة الأ
الجهل قرين الأعداد الأوّليّة
لا يزال العالم يجهل سرّ الأعداد الأوّليّة الصمّاء..
محاولات مضنية منذ آلاف السنين.. فإلى ..
سوء الحظ الحسن
عندما أورد اللَّه عزّ وجلّ في محكم كتابه هذه الآية، سبق في علمه أنه عندما يتحقق العالم من..
سخرية الأرقام
هل تخيّلت يومًا أن تدافع الأرقام عن القرآن.. بل هل تخيّلت يومًا أن تسخر الأرقام من المشركين....
عُقم الأعداد
ما بين النجم والكلمة خيط رفيع اسمه الدهشة! تنعقد ألسنتنا بالدهشة عادة كلما تأمَّلنا مواقع
الأعداد الأولية تتحدّى المشركين
لا يمكن لنا أن نفهم النسيج الرقمي القرآني بشكل صحيح إلا بعد فهمنا لسلوك الأعداد الأوّليّة
مفاتح الغيب
لا يعلم الغيب إلا اللَّه وحده سبحانه وتعالى، ومن يدّعي علم الغيب فهو مُكذَّب للقرآن الكريم، فقد طوى اللَّه عز وجلّ علم الغيب
العدد 53 يتحدّى المُكذّبين
ما أجلَّها آيات اللَّه الكونيَّة، وما أقدرها على إقناع كلِّ صاحب عقل سديد غير مكابر،
الأعداد الأولية تنطق بالوحدانية
إذا تأمّلت في جميع ما جاء به الأنبياء من مُعجزات تثبت صدق نبوتهم، فلن ترى أعظم ولا أجلّ من المُعجزة الخالدة التي جاء بها خاتم النبيين